歡迎來到上海珩澤科技有限公司網站!
【引子】
流動的測量主要靠黏度來表征,以及在此基礎之上的各種定義,各種概念。這與產品的質量控制,研發和工程工藝密切相關。
上海疫情封控期間,我團了一箱安慕希的常溫酸奶。本來我對于常溫酸奶就不感興趣,其中原因,純粹個人偏好。產品是利樂包的,食用的時候需要借助吸管。此時,我發現了一個蠻嚴重的現象:那就是不管是大人食用后,還是孩子食用后,剪開包裝,發現在包裝的四壁或者底部都有大量的酸奶殘留,預估占到總體積的20%左右。疫情期間,物資緊張,為了解決糧食,我都剪開了,用勺子刮干凈。
關于這個問題,我與一個從事流變學研究的好朋友做了請教和討論。結果是,這的確是一個復雜的流變學問題。在這里,我嘗試用我有限的流變學知識,從流變的角度,做個初步的分析。
1、吸管食用的時候,期望酸奶在吸力的作用下,黏度可以顯著下降,方便吸食。遺憾的是,常溫的安慕希酸奶并沒有這個特性,或者特點不顯著。這其實是一個簡單的剪切變稀的問題。這明顯與該產品的配方或者發酵工藝密切相關。
2、即使吸食的時候黏度變稀不明顯,如果可以形成連續穩定的流動,只要你用力吸食,也可以確保酸奶盡可能多的被吸入嘴巴里。很遺憾,這個酸奶沒有形成連續穩定的流動。換言之,這個酸奶的物性結構不足以支撐這個連續流動的形成。涉及到兩個問題,一個是屈服應力,一個是結構內聚力。顯然,安慕希酸奶的屈服應力過大,不利于吸食。另外一個原因,結構松散,形不成內聚力,所以無法連續流動。這其實是線性黏彈性,模量的表征。這里就涉及到了形變、或者應變的測量。
當然,zui簡單粗暴有效的方式就是:別用利樂鉆石包了,改為杯裝,食用的時候改為小勺子就可以了。不知道大家有沒有發現,安慕希的常溫酸奶有瓶裝的,在食用的時候殘留的問題就不明顯。當然,這又是另外一個有趣的流變學問題了。
胡亂嗶嗶一頓,不一定科學合理。安慕希看到了,也不會找我買流變儀。真正的流變學家看到,別扔磚頭。下面言歸正傳。
一、為什么要測試形變-黏彈性?
習慣了使用黏度計的客戶,總是說,我們一個粘度計就夠了,完成流動的測試,至少在解決質量控制和工程工藝已經綽綽有余了。的確如此,如果你面對的是簡單流體,不涉及復雜的溫度變化,不涉及相變轉變等等,或者高固形物含量的漿料,水泥砂漿,金屬粉末等,比如稀的只有5mpa.s的油墨,你來測試粘彈性就是脫褲子fang屁了。粘彈性測試肯定面對的是復雜流體,比如藥物凝膠,涂抹制劑,壓敏膠,環氧樹脂,聚合物熔體,化妝品,食品增稠劑等。就是測量的前提是,這個物質必須是一個具有粘彈性特征的軟物質。你不能拿著gao端的流變儀,經常來測水的粘彈性,就是這個道理。總結一下吧,為什么要測試黏彈性?
1.1 黏彈性測試可以獲取物質的最本質的物性信息。
在這里,不討論LAOS大形變,只討論SAOS小形變。
為什么說本質的信息,是因為所有的測試都是在物質的線性黏彈區內測試。所以,樣品是在近乎一個相對靜止狀態條件下進行的測試,結構上的差異很容易被儀器記錄,可以明顯區分物質的差異,而且重復性,穩定性高。
另外一個原因,流變是一個依賴于時間尺度的測量結果。如果你需要模擬一個長時間的測量,就需要借助震蕩模式。一座大橋建好了,他的壽命是100年還是200年?需要參照一個應力積累-蠕變的參量。比如,地殼的運動,或者泥石流的爆發,需要模擬長時間的應力-應變積累。比如,時溫等效的轉換,等等,都離不開粘彈性的測試。
1.2 物料本身的特性決定的。
一個果凍,常溫下,測黏度和流動,肯定不現實。所以,需要測試粘彈性。歸納如下:
物料有很強的粘彈性性質,面團,凝膠等;
物料涉及到化學變化或者相變,比如環氧樹脂固化,紫外涂料固化等;
旋轉模式下,樣品容易打滑;
1.3 測試目的決定的
需要表征粘彈性響應做頻率掃描的;
需要借助流變儀表征Tg玻璃化轉變溫度的,軟化點,融化點的;比如下圖,塑料的相態研究。
需要做相變轉換的;需要測試蠕變的。

熱熔性材料的溫度掃描
二、粘彈性測試如何做?
在流變儀主機的測試能力定型的前提之下,確認好溫度,測量夾具等因素,可以準備開始邏輯清晰的粘彈性測試。
2.1 線性黏彈區
這也就通常所說的振幅掃描,可以初步獲取物質的基本黏彈性信息。固定溫度,頻率等參數,做一個形變或者應力的掃描測試,獲取線性黏彈區。這是做震蕩測試的第一步,獲取線性區間的邊界,或者小振幅形變的邊界。這一步得到的形變或者應力值至關重要,接下來的測試都要依賴于這個數值。

比如該圖,獲得的最大形變量是0.69%,此時的應力值為198.4PA。該圖的數據是在240C的條件下,測試的一個塑料粒子。這個圖除了線性年彈性區間,還可以得到如下的信息。
(1)儲存模量和損耗模量差值很小,沒有跨越數量級,是一個弱結構的物質,容易流動,所以形變量最大值為0.69%;
(2)屈服應力的測試方法有多種,測試線性區間對應的最大應力值198.4Pa,可以定義為該物質在這個條件下的屈服應力。這一表征方法具有良好的穩定性。
(3)測試的一個小技巧。對于弱結構的材料,由于市場上大多數流變儀都是應力控制型流變儀,所以在利用這個線性區間的形變量作為參考進行其他的震蕩測試的時候,建議選擇應力控制模式。如果物質偏軟,偏稀,應力值可以選擇接近最大應力值的70%;如果物質粘度偏大,彈性較強,可以選擇最大應力值的30%。以上,僅僅是經驗之談,對于測試數據的穩定性有一定的幫助。
(4)內聚強度。如果測試得到的線性范圍很寬,比如100%,甚至200%,可以直觀理解為這個物質具有很強的內聚強度,就是任憑外在如何剪切或者攪拌,始終保持一個強大的內聚彈性體而不會流動。也就是,這個物質需要更多的功或者能量,才可以被破壞,產生流動。
2.2 頻率掃描-粘彈性響應
這是一個非常常見的,也是非常重要的黏彈性測試手段,從高頻到低頻做個掃描測試。這個測試可以獲取很豐富的物性信息。由于測試是在相對靜止的條件下進行的動態測試,所以測試的結果具有很強的靈敏度,可以容易的找到樣品間的差異。

(1)一致性評價的依據
在涂抹類外用制劑的一致性評價中,不管是哪個國家的藥典,規定了頻率掃描是一個必須完成的測試。通過這一測試數據,可以評估配方、生產工藝的一致性,從而zhi定批間差可以接受的偏差范圍,最終得以對藥物的質量屬性進行評價。
藥物如此,其他的產品都類似。比如膠粘帶的生產一致性的質量控制手段,可以采用這個測試。
另外,通過這一手段可以考察產品的質量穩定性。舉例,你會經常發現,透明膠帶是有保質期的,過了較長的一段時間,黏性下降,不能正常使用了。這其實就是由于受到光、氧氣、水分的作用,以及壓敏膠本身的分層等導致的最終結果,產品失去黏性了。這一結果很容易通過測試粘彈性響應來發現,并且根據測試的結果來進行配方或者生產工藝的調整。
當然,穩定性的考察你可以進行多角度的評估,時間,溫度,光,氧化,,濕度等等,這其實又是一個宏大的課題,在這里不再展開。
(2)分子量分布和分子量大小

頻率掃描的時候模量的交點位置的左右變化和高低變化,可以直接表征分子量的分布和大小,這對于高分子聚合物來說特別精準,甚至可以代替GPC做快速的測試分析。在實際測試過程中,發現醫用凝膠滅菌前后的分子量差異很大。
(3)頻率掃描的經驗分享
掃描的區間,從100rad/s做到0.1HZ就足夠了,如果非要從100HZ開始,先要確認你的樣品是否耐受高頻的測試。不要嘗試去做0.01HZ甚至更低,除非你有足夠的時間來進行測試。
測試從高頻掃描到低頻。
做批次差異的時候,需要把批次間的測試曲線進行疊加處理,可以很快篩選出差異來。
2.3 溫度掃描
對于熱熔型或者熱固性材料來說,做溫度掃描的重要意義是根本性的,決定著這個材料的使用特性。比如材料的玻璃化轉變溫度,軟化點,流動點,固化溫度,固化結束等等,這些信息都依賴于溫度掃描的測試。在高分子聚合物樣品中,溫度掃描這一項就是一個宏大的課題,值得特書大書。

上圖是一個塑料例子,在注塑的時候發現物料之間的差異很大,找不到具體的原因。從過溫度掃描,很容易發現一個經常堵住模具不能很快流動的粒子,是因為配方對溫度降低特別敏感,溫度稍微下降,模量迅速增加,相變開始,所以熱流體不再流動,堵住了模腔。

上圖是一個膠黏劑的溫度掃描測試,很容易測量得到該物質的Tg為-10C,選擇了相位角正切值的最大值對應的溫度。這一溫度為該膠黏劑zui低的使用溫度范圍提供了參考。當然,一旦配方和工藝確定,Tg作為材料的特征屬性,具有特異性。
以下幾個經驗分享一下:
(1)升降溫的速度控制。如果時間允許,盡可能的慢一點,這樣重復性會高很多。建議溫度2-5C/min即可。
(2)溫度從高溫到低溫掃描。如果測試允許,材料允許,建議從高溫開始。或者室溫條件下物質表現為軟物質,從室溫開始升溫或者降溫都可,這取決你的測試實驗室設計。
(3)特別留意低溫條件下,形變量過大引起的扭矩負荷過大以及由此帶來的數據穩定性差的問題。建議根據測試曲線和經驗,低于某一個溫度的時候,形變控制改為自動模式,允許在某一更小的形變值附近做上下波動。
2.4 時間掃描
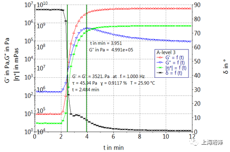
觀察材料與時間相關的變化特性。比如紫外固化,化學交聯反應,以及時間穩定性等。時間掃描需要耐心的等待,當然,有的實驗會很快,比如藥物凝膠的凝膠時間測試等。

這是一個典型的紫外光固化的曲線,清晰的表達了什么時候固化開始,什么時間結束,對于固化速度的優化,紫外光能量的篩選和誘發劑的選擇,都會提供參考。下圖是個時間穩定性的測試。

另外,很有很多的利用粘彈性測試的模式來進行流變分析的,這里不再詳細的闡述,在后期的短文里相繼會有新的內容補充,比如結構恢復的測試,蠕變回復測試等。以上四個部分是非常基本的測試手段,掌握之后可以完成大部分的形變測試工作。
至此,流動和形變的梳理基本完成了一部分的工作。這中間涉及到的基本概念,模量,損耗因子,相位角等,簡單bai度一下就可以解決,不再詳細闡述。對于企業客戶來講,流變儀的難點在于面對質量問題,工程問題和研發問題,不知道該用流變學的思維去思考和分析,找不準問題的根源所在。另外一方便,測試出來的數據該如何解讀,與實際一一對應,用于指導生產生活,這又是另外一個難題。文章分享到這一部分,只是羅列了實用流變測量學的一點皮毛。需要深入的理解,還是要回到書中去,認真研讀概念,分析測試場景,舉一反三,才可以在流變學的學習之路上更上層樓。
掃碼關注
傳真:
郵箱:frank_li@hengzelab.com
地址:上海市浦東新區宣秋路139號1號樓208室