歡迎來到上海珩澤科技有限公司網站!
2018年7月11日CDE發布了新注冊分類的皮膚外用仿制藥的技術評價要求,征求業內意見,到2021年3月份該意見實施落地,該類型的仿制藥終于有了規則可以遵循。本文只討論皮膚外用仿制藥的流變學評價,期待起到拋磚引玉的作用。
一、關鍵質量屬性CQA的流變特性
流變學特性,粒徑大小和粒徑分布都影響到配方、工藝的合理性以及一致性評價,因此,測試藥物的流變學特性尤為重要。流變學測試涉及的主要包含以下幾項內容。
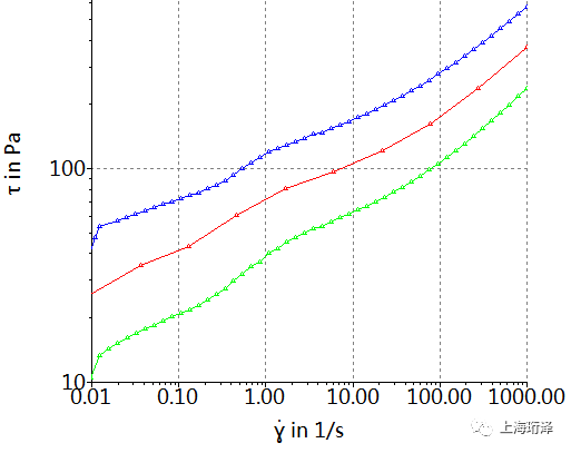
1.1 流動曲線-剪切應力與剪切速率的完整流動曲線,確定出低或高剪切應力或速率
這是一條簡單的流動曲線。但問題的關鍵是,剪切速率從多少開始,到哪一個剪切速率結束,這條流動曲線才算完整?或者,從產品配方和工藝的一致性角度出發,這條流動曲線該如何解讀?究竟是采取高剪切速率還是低剪切速率?這在現實的研發工作中是一個必須面對的問題。
下圖就是典型的流動曲線。低剪切速率可以表征配方的運輸儲存的穩定性,通常用零剪切黏度擬合來完成。建議低剪切速率采用0.01s-1~10s-1就可以很好的完成。高剪切速率表示配方的涂抹性能,好涂不好涂,速率可以高達5000S-1。在實際測試的時候,需要綜合考慮儀器的性能,配方的特性以及流變測試的限制,建議低速從0.01S-1開始就可以,高剪切1000S-1即可。有的物料,比如乳膏類,高速條件下容易出現剪切失真的問題,物料被甩出或者表現出彈性出現爬桿現象。這都是測試過程中要注意避免的。

從一致性評價的角度,建議去參考低剪切速率條件下的黏度數值。因為低速條件下的數據,配方結構趨向一個靜態的網狀結構,此時的數據更加接近物料的本質物性結構信息。當然,現在的流變儀都可以實現對不同樣品的整條曲線進行疊加處理,如下圖。

若果整條曲線都是相似或者相近的,一致性程度更高。
1.2 屈服應力-如測試物料表現出塑性流動行為,則應報告屈服應力值
涂抹類的外用皮膚藥物,多數具有屈服應力的特性。屈服應力在整個流變學研究中一個非常重要的參數,同樣的配方具有特異性,具有特征的屈服應力值,所以屈服應力值對于配方的一致性評價重要的參考價值。
但是,另外一角度來看,屈服應力的測試方法有很多種,不同的測試方法測試得到的結果有比較大的差異。因此,針對不同的配方類型,選擇具有高穩定性的測試方法就異常重要。主要的測試方法列舉如下:
A:應力增長模式:設定恒定的剪切速率,測得最大剪切應力即可,對應于時間t (線性坐標)。

這個方法要求恒定剪切速率的選擇比較重要,一般選擇低剪切速率。具體到某一個確定的速率,要根據物料特性來選擇。
B:控制應力(CS)掃描模式: 連續增大的剪切應力施加到被測樣品上, 觀察產生的形變, 曲線斜率變化兩個切線的交點對應的應力。

C:振蕩(OSC)應力掃描模式: 以某一頻率的正弦波施加到被測樣品上, 應力幅度逐漸增加,曲線斜率變化兩個切線的交點對應的應力。

還有很多種測試的方法,這里就列舉三個,是比較常用的屈服應力的測試方法。關于乳膏類,凝膠類等藥物,我建議采用C方法,也就是振蕩(OSC)應力掃描模式。或者采用震蕩模式下的振幅掃描模式,也可以得到穩定的,重現性比較高的屈服應力數據。在震蕩模式下,測試屬于動態測試,優化了測試條件之后,只要儀器的靈敏度足夠,都可以得到穩定的數據。
1.3 線性粘彈性響應-頻率掃描
頻率掃描對于一個凝膠類或者高分子聚合物形成的配方來說,測試的特異性非常強。不同的分子量,不同的交聯程度,模量的交點肯定會偏移。下圖是常規的頻率掃描圖譜。

對于同批次的配方,完成頻率掃描后,總會得到類似的頻率圖譜,除非工藝,原輔料發生了異常。頻率掃描的意義在于不僅僅可以實現一致性的評估,還可以做配方的穩定性表征。比如剛生產出來的制劑和放置一段時間的制劑,來檢測頻率圖譜,由于儲存時間,光熱,顆粒大小的影響,頻率圖譜就會發生變化
我們再回頭看這些檢測指標,只有四項,流動曲線,屈服應力,粘彈性響應,還有粘度。按照藥典的要求,至少流變儀都有了,粘度的檢測就更為簡單了。再看一下歐盟的要求:EMA, CHMP: Concept paper on the development of aguideline on quality and equivalence of topical products. July2015。除了以上四項之外,還增加了蠕變測試和觸變環面積。
?A complete flow curve of shear stress (or viscosity) versus shear rate, comprising multiple data points across the range of increasing and decreasing shear rates so that any linear portions of the up-curves or down-curves are clearly identified. The resulting curves should be
Draft Guideline on quality and equivalence of topical productscharacterised by fitting to (modified) power law equations so that numerical data can be produced.
? Yield stress and creep testing
?The linear viscoelastic response (storage and loss modulus vs. frequency)
Rheograms should be provided and the product’s behaviour classified according to shear and time effects e.g. pseudoplastic, dilatant, thixotropic, and characterised using appropriate metrics. For example: viscosities at specified shear rates across the rheograms (e.g. η100); plastic flow yield stress values; thixotropic relative area (SR); viscoelastic storage and loss moduli (G’ and G"), apparent viscosity, loss tangent (tan δ).
很顯然,這里做了更為詳細的規定,包含哪些參數需要報告。對于中國的企業來說,可以參考。從研發的角度,或者質量控制的角度,增加測試參數肯定對于品質評價具有積極意義。
二、哈克流變儀的解決方案
在這里,我司提供兩個方案,一個性價比,一個更顯設備高大上。分列如下。
2.1 高級旋轉流變儀 Mars IQ Air
這是一款空氣軸承,具有法向力傳感器,自動升降的設備,性價比高。滿足以上屈服應力,流動曲線,頻率掃描,觸變環,蠕變回復等各類測試,能力綽綽有余。設備的低扭矩1uNm,低掃描頻率0.001Hz,法向力傳感器0.01~50N,設備主要配置如下:

Mars IQ Air主機
平錐板半導體溫度控制系統
測量夾具,推薦P35平板(或者防打滑處理)
流變儀工作站軟件
溫度保護單元
空氣壓縮機
過濾器
滿足FDA要求的審計追蹤軟件
2Q驗證文件和服務
2.2 高級模塊化流變儀工作站
這是一款高級的旋轉流變儀,推薦MARS40型號即可。與Mrars IQ Air相比,具有更好的靈敏度以及更強大的拓展功能,可以與紅外光譜,拉曼光譜,顯微鏡等設備進行聯合測試。

Mars40主機
平錐板半導體溫度控制系統
測量夾具,推薦P35平板(或者防打滑處理)
流變儀工作站軟件
溫度保護單元
空氣壓縮機
過濾器
滿足FDA要求的審計追蹤軟件
2Q驗證文件和服務
3、結語
從測試的參數來看,外用仿制藥的流變學特征的評估,所需要滿足的流變儀必須滿足以下主要配置或者硬件構成:
空氣軸承測量頭,這是保證靈敏度的重要部件;
自動升降,這是保證實驗重復性和精確間隙控制的重要部件;
法向力傳感器,這是一個做間隙補償和法向力控制,甚至法向力測試的重要傳感器;
溫控單元,提供精確的溫度環境;
測試夾具,耐化學腐蝕性好,低慣量;
珩澤科技,專注流變科學,為廣大客戶提供專業的流變學技術服務。我司有樣機提供,歡迎客戶前來參觀和測試試用。
掃碼關注
傳真:
郵箱:frank_li@hengzelab.com
地址:上海市浦東新區宣秋路139號1號樓208室